Civil Aviation and Safety Engineering

The influence of obstacle distribution on the flow characteristics of ultrafine dry powder extinguishing agent in confined space

  • Quanwei LI , 1, 2 ,
  • Qingshan LIU 2 ,
  • Ya WANG 3 ,
  • Hui GE 2 ,
  • Dan WU 2 ,
  • Lulin TANG 2
Expand
  • 1. Key Laboratory of Civil Aviation Thermal Hazards Prevention and Emergency Response,Civil Aviation University of China,Tianjin 300300,China
  • 2. School of Safety Science and Engineering(school of emergency management),Nanjing University of Science and Technology,Nanjing 210094,China
  • 3. China Explosive Materials Trade Association,Beijing 100089,China

Received date: 2024-11-12

  Revised date: 2024-12-30

  Accepted date: 2024-12-31

  Online published: 2025-12-25

Abstract

In order to study the influence of obstacle distribution on the flow characteristics of ultrafine dry powder fire extinguishing agent in confined space,a fluent software was used to establish a two-dimensional transient simulation model of gas-solid two-phase flow in the confined space after the release of ultrafine dry powder extinguishing agent, and the spatial flow characteristics of ultrafine dry powder were simulated under the conditions of different layers of obstacles and spatial locations. The results show that both the layer number and distribution of obstacles have a more significant influence on the spatial flow and distribution of ultrafine dry powder. In the early stage of spraying, the concentration of the area under the middle obstacle is significantly lower than that of the other obstacles, while the side obstacles have a more significant influence on the time required to reach the fully submerged fire extinguishing agent in the space. The number of layers of obstacles has a significant influence on the total flooding state of ultrafine dry powder fire extinguishing agent, single-layer obstacles to a certain extent is conducive to speeding up the confined space to achieve the state of total flooding of fire extinguishing agent, while multi-layer obstacles is just the opposite, and with the increase in the number of layers of obstacles, the longer the time required to reach the state of total flooding.

Cite this article

Quanwei LI , Qingshan LIU , Ya WANG , Hui GE , Dan WU , Lulin TANG . The influence of obstacle distribution on the flow characteristics of ultrafine dry powder extinguishing agent in confined space[J]. Journal of Shenyang Aerospace University, 2025 , 42(6) : 78 -88 . DOI: 10.3969/j.issn.2095-1248.2025.06.010

火灾严重威胁飞机的安全,长期以来飞机上的灭火系统一直采用高效的哈龙气体灭火剂,然而由于哈龙物质对臭氧层具有破坏作用1,目前在飞机这类特殊保护场所中也即将面临全面替代的问题。近年来,国内外学者广泛开展了哈龙灭火剂替代品2-4的研究,超细干粉5-6因其具有环保性能好、灭火效率高、空间弥散性好7-8等优点,目前已成为哈龙灭火剂的热门替代物之一,特别适用于全淹没灭火应用,有望用于飞机防火系统。
超细干粉灭火剂的输运及空间释放扩散特性对于灭火系统的设计及应用具有重要的影响。近些年来,国内外学者围绕超细干粉灭火剂的流动输运特性开展了一系列研究,主要关注超细干粉在管内的流动输送特性,如:季经纬等9利用欧拉多相流模型模拟了超细干粉在水平直管内喷射时的沿程阻力和干粉体积分数等特点。蔡宇武10研究了超细干粉灭火剂在水平直管内流动时的压降变化规律,并对管内两相流动过程进行了数值模拟。Miao等11通过CFD仿真对辅助管内的流场特性进行了分析,总结了不同入口压力条件下粒度参数对超细干粉和氮气质量流量及速度的影响规律。此外,也有少量研究关注超细干粉在受限空间内的流动特性,如:陆诚等12基于气-固两相流模型对受限空间内超细干粉灭火剂的流动特性和浓度分布进行了计算。Guo等13利用Fluent软件建立了杯状燃烧器的简化仿真模型,分析了温度变化和颗粒运动轨迹,模拟结果表明,超细干粉介质进入杯状燃烧器后具有良好的分散性,与实验结果较为一致。华敏等14-15在无火源条件下研究了超细干粉灭火剂在受限空间内各点的质量浓度随时间变化情况,并使用激光法进行测量,结合Fluent 数值仿真计算,研究了灭火剂微粒施放后的流动、扩散和沉降等运动规律。
尽管目前已有部分研究关注超细干粉灭火剂在受限空间内的流动问题,但有关这方面的研究还较少。而且目前少有针对障碍物对超细干粉灭火剂空间流动特性影响的相关研究。然而在超细干粉的实际应用中,在被保护空间中往往存在形状各异、分布不同的障碍物,势必会对超细干粉的空间流动扩散过程造成影响,进而影响灭火剂及灭火系统的效能。为此,本文基于Fluent仿真软件,建立受限空间内超细干粉灭火剂释放后空间流动特性的数值计算模型,探究不同障碍物分布对超细干粉空间流动扩散的影响规律,以期为超细干粉在复杂障碍物条件下的应用提供理论和数据支撑。

1 数值方法与计算设置

1.1 控制方程与湍流模型

超细干粉释放后的空间流动扩散属于典型的气-固两相流问题,可以使用欧拉-拉格朗日模型进行求解,气-固两相流的计算通常可采用DPM模型16。由于超细干粉灭火剂的空间流动扩散为纯粹的物理流动过程,可忽略颗粒运动过程中温度的变化,因而在仿真计算过程中可以不考虑能量方程,主要考虑质量守恒方程和动量守恒方程。其中动量守恒方程16式(1)和(2)所示。
( ρ μ x ) t + · ( ρ μ x μ ) = - p x + τ x x x + τ y x y + ρ f x
( ρ μ y ) t + · ( ρ μ y μ ) = - p y + τ x y x + τ y y y + ρ f y
式中: ρ为混合物流体密度,单位为kg/m3p为微元体上作用的压强,单位为Pa; τ x x τ x y等分别为微元体表面黏性应力 τ在各个方向的分量,单位为Pa; f x f y分别为在xy方向上的单位质量力,单位为m/s2
质量守恒方程16可描述为
ρ t + ( ρ μ x ) x + ( ρ μ y ) y + ρ μ y y = S m
式中: ρ为混合物流体密度,单位为kg/m3t为时间,单位为s; μ x μ y分别为流速在xy方向上的速度分量,单位为m/s;x为横向坐标;y为轴向坐标;源项Sm 为从分散的次相加入连续相的质量及任何用户定义的源项,单位为kg/m3·s。
在两方程涡黏性湍流模型中,k-ε模型能够较好地模拟远离壁面充分发展的湍流流动,而k-ω模型则更适用于各种压力梯度下的边界层问题。在 SST k-ω湍流模型中,近壁面处使用k-ω模型,而远离壁面处则使用k-ω湍流模型进行计算,这样该模型在研究射流模拟上有很好的修正。考虑到本计算既涉及灭火剂的喷射又涉及其与受限空间壁面的作用问题,因此选择SST k-ω湍流模型进行计算,其控制方程16
t ρ k + x i ρ k u i = x j Γ k k x j + F k - Y k
t ρ ω + x i ρ ω u j = x j Γ ω ω x i + F ω - Y ω + D ω
式中: k为湍流动能,单位为J/kg; t为时间,单位为s; ρ为密度,单位为kg/m3 u i u j分别为湍流速度平均值,单位为m/s; x i x j分别为坐标分量; ω为湍流特殊耗散,单位为m2/s3 Γ k Γ ω为有效扩散系数,单位为m2/s; F k F ω分别为湍流生成项,单位为m2/s2 Y k Y ω分别为耗散项,单位为kg/m·s3 D ω为扩散项,单位为m2/s。

1.2 物理模型和边界条件

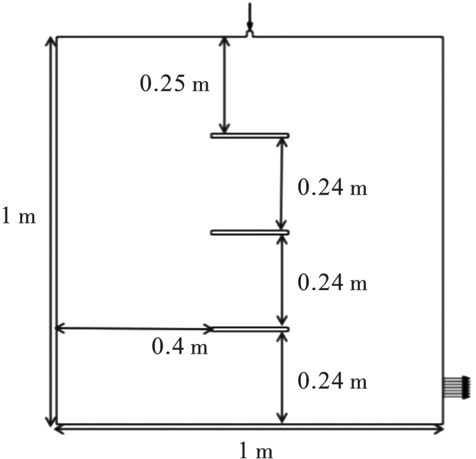
本文主要进行受限空间内超细干粉颗粒流动扩散的数值模拟,实体模型为边长1m的立方体腔室,在其侧壁中间靠下的位置设有一个直径为50 mm的排气孔,喷嘴位于腔体顶部中心位置。考虑到腔体为对称结构,为减少计算量,针对其中心竖直截面建立如图1所示的二维物理模型进行仿真计算,共考虑单侧、双侧及中间3个不同障碍物位置和单层、双层及三层3种障碍物层数的情况。图1给出了中间部位三层障碍物的空间分布情况,障碍物位于喷嘴正下方,其距受限空间两侧壁面的水平距离均为0.4 m,障碍物之间的间距均为0.24 m。障碍物采用统一的尺寸,其长度和厚度分别为0.2 m和0.01m。
图1 二维物理模型
采用体积为1.2 L的灭火瓶以氮气作为驱动气进行超细干粉灭火剂的喷放,灭火瓶充装压力为1.2 MPa,整个释放过程中的喷口流速变化曲线如图2所示,采用UDF函数将其导入Fluent软件进行整个喷放过程的仿真计算。超细干粉灭火剂的粒径分布如表1所示。
图2 超细干粉释放过程中的喷口流速变化曲线
表1 超细干粉的粒径分布

最小粒径/

μm

最大粒径/

μm

平均粒径/

μm

n
1.79 10.70 5.03 1.576
采用ICEM完成网格划分工作,对近壁面网格进行局部加密,网格划分效果如图3a所示,图3b为网格质量统计示意图,可以看出总体网格质量良好。
图3 网格划分结果

1.3 数值方法和模型验证

本文采用压力基求解器进行瞬态计算,动量方程和压力插值均选择二阶迎风格式,计算过程具有良好的收敛性和稳定性,计算结果具有较高的精度。
为验证计算模型的准确性,搭建了超细干粉灭火剂喷放实验系统进行实体喷放测试,并采用光电传感器检测喷放过程中腔室内不同位置超细干粉的体积浓度。典型测点颗粒物浓度实验与模拟结果对比如图4所示,从图4可以看出,仿真计算结果与实验测试结果总体变化趋势相近。
图4 典型测点颗粒物浓度实验与模拟结果对比

1.4 计算工况设置

本文分别从障碍物层数和障碍物位置两方面探究障碍物对超细干粉在受限空间内流动扩散特性的影响,障碍物的层数分别设置为1、2、3层,设置3种障碍物位置,分别位于中间、单侧和双侧。二维模型中障碍物的长设置为0.2 m,宽设置为0.01 m,所有工况的喷射压力为1.2 MPa,总的喷射时间为3.2 s,具体工况设置如表2所示。
表2 工况设置
序号 障碍物层数 障碍物位置
1
2 1 中间
3 1 单侧(左)
4 1 双侧
5 2 中间
6 2 单侧(左)
7 2 双侧
8 3 中间
9 3 单侧(左)
10 3 双侧

2 障碍物分布对超细干粉空间扩散的影响

2.1 无障碍物条件下浓度动态变化过程

图5给出了无障碍物时受限空间内超细干粉浓度分布动态变化的典型过程。从图5可以看出,超细干粉喷出后约0.6s即到达受限空间底面,并沿底面形成水平射流向两侧流动,然后在侧壁的约束下继续向上运移,由此在受限空间内形成左右两个回流区,从而向整个受限空间流动扩散。从整体上看,右侧回流区超细干粉流动稍快于左侧,这可能是由于空间右下侧存在排气孔,导致右侧压力偏低,有利于超细干粉向右侧流动所致。
图5 无障碍物时受限空间内浓度分布动态变化典型过程

2.2 不同障碍物分布条件下浓度动态分布对比

图6给出了单层障碍物时受限空间内浓度分布对比。相较于图5所示的无障碍物条件,分布于不同位置的障碍物均会在其周围改变超细干粉的流动路径,进而影响其空间浓度分布。具体而言,当障碍物位于中间部位时(喷嘴正下方),超细干粉竖直喷出后迅速到达障碍物顶面,并沿障碍物顶面形成水平射流,从而在障碍物的上方区域形成两个回流区。由于喷嘴到壁面距离的缩短,一方面使得超细干粉喷出后能更快触壁反弹,另一方面同样喷射条件下超细干粉接触壁面时的速度更快,从而使得反弹回流的强度更大。此外中间障碍物还对空间起到了分隔的作用,显著缩小了壁面上方回流空间的大小,同样有利于超细干粉向上方空间的流动扩散。因空间右下侧存在排气孔,部分超细干粉向空间右下部流动,且随着喷放的持续,右下部的超细干粉浓度不断增大,超细干粉自右侧逐步绕流到障碍物下方,并继续向左上方流动。在此过程中,受限空间左下角区域超细干粉的浓度始终较低,此时空间内不利位置已由无障碍物时的空间左上方角落转换为空间左下角区域。当障碍物位于空间侧方时,无论是单侧还是双侧,超细干粉喷出后,首先与受限空间底面接触并形成左右两个回流区,此时侧方障碍物对超细干粉向上回流的过程具有显著的影响,如图6T=0.6 s和T=0.8 s时刻单侧障碍物的空间浓度分布,障碍物侧超细干粉回流所到达的高度显著高于无障碍物侧,双侧障碍物时超细干粉两侧回流所到达的高度同样明显高于单侧障碍物时无障碍物侧的高度,这说明侧方单层障碍物的存在有利于加快超细干粉接触底部壁面后的向上回流速度。这可能是由于下部侧方障碍物与空间壁面形成了一个半封闭区域,从而阻碍了超细干粉在此区域的填充。此外,因侧方障碍物的影响,超细干粉在障碍物上方局部区域再次形成反向的回流,从而在障碍物上方局部区域形成低浓度区,此时空间内的不利位置则转换为障碍物上方局部区域。
图6 单层障碍物时受限空间内浓度分布对比
当受限空间内存在两层障碍物时可以得出,当障碍物位于中间区域时,超细干粉喷出后同样会先与障碍物顶面接触并在其上方的空间内形成左右两个回流区,约在喷放后1 s基本充满整个上方区域;随着喷放的持续进行,超细干粉沿侧壁面向下运移,并在接触空间底面后转而向上运动,下层障碍物与底面间的区域约在释放后2 s基本均达到0.05 kg/m3以上。相比较而言,两层障碍物之间区域灭火剂的浓度明显较低,说明此时两层障碍物之间的部位对于全淹没灭火而言最为不利。当障碍物位于受限空间侧面时,与前述单层障碍物类似,对于单侧障碍物来说,超细干粉到达底面后在无障碍物一侧(空间右侧区域)形成回流并迅速填充整个右侧区域,而在有障碍物一侧(空间左侧区域)则是在向上回流的过程中先受到下层障碍物的阻挡,在下层障碍物与底面之间(空间左下角)的区域浓度较快提升,在两个障碍物之上的局部区域均出现逆时针方向的回流。因受上层障碍物的阻挡,两层障碍物之间的区域灭火剂回流较快,至开始喷射2 s时,除受限空间左上角外,受限空间内灭火剂浓度基本均在0.05 kg/m3以上;对于双侧障碍物而言,障碍物区域灭火剂的流动过程与单侧障碍物基本一致。但受限空间上部区域灭火剂的浓度明显低于单侧障碍物时,这可能是由于障碍物的增多明显削弱了灭火剂接触底面后向空间上方回流的强度所致。
当障碍物层数增加至3层时,灭火剂在受限空间内的流动过程均与相应的两层障碍物时较一致。所不同的是,超细干粉填充整个受限空间的过程明显有所减缓,在喷放后同样的时刻,前述各浓度相对较低的区域灭火剂浓度均更低,这意味着同等喷放条件下,整个受限空间需要更长的时间才能达到全淹没灭火的状态。

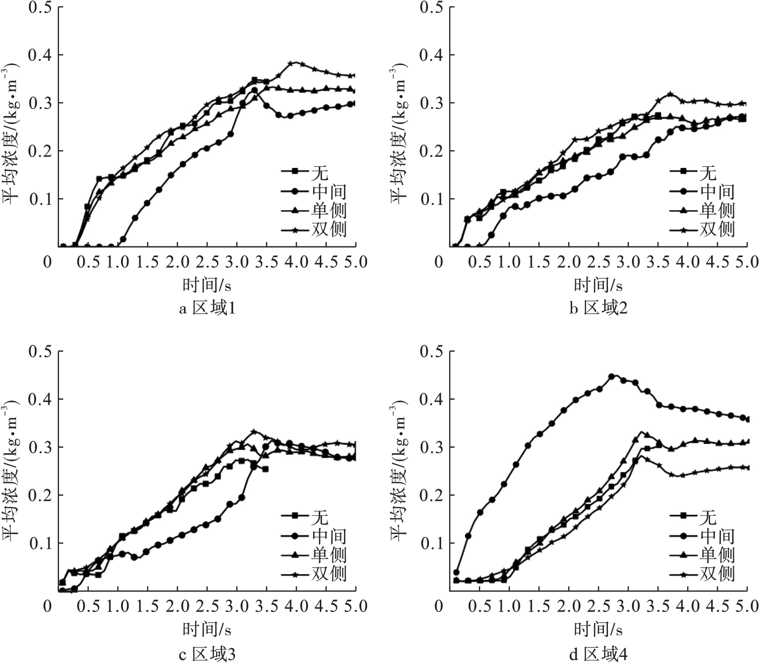
2.3 不同障碍物条件下区域平均浓度对比

为进一步探究障碍物的层数和分布对超细干粉在受限空间内流动的影响规律,结合2.2节分析内容及仿真模拟的结果,依据障碍物在空间内的高度将受限空间划分为2~4个区域,并标明每种工况下受限空间内的不利区域,障碍物条件下受限空间区域及不利区域划分如图7所示。
图7 障碍物条件下受限空间区域及不利区域划分示意图
图8为单层障碍物时各区域平均浓度对比。从图8a可以看出,除障碍物处于中间位置时区域1平均浓度的增长速率稍慢于其他位置时以外,总体上区域1的平均浓度随时间的变化趋势较为一致。图8b为障碍物不同位置时区域2的平均浓度随时间的变化趋势同样较为吻合。结合图5可以发现,这主要是由于障碍物位于灭火剂的喷射路径上,直接阻碍并改变了灭火剂释放之初向下方的流动所致。可见,对于单层障碍物条件,障碍物位于喷射路径上时会使得障碍物下方区域灭火浓度的增加有所滞后。
图8 单层障碍物时各区域平均浓度对比
图9为双层障碍物时各区域平均浓度对比。从图9a可以看出,在灭火剂释放之初(约2 s之前),单侧和双侧障碍物时区域1的平均浓度基本与无障碍物时一致,而中间障碍物时平均浓度则显著低于其他障碍物条件。这同样是由于障碍物位于喷射路径上导致灭火剂在空间内的流向发生显著变化所致。图9b为区域2(两层障碍物夹层区域)平均浓度随时间的变化曲线,从图9b中同样可以看出,障碍物位于中间部位时,该区域平均浓度的增长显著低于其他障碍物条件。图9c为区域3平均浓度随时间的变化曲线,从图9c中可以看出,障碍物位于中间部位时,该区域在释放之初平均浓度显著高于另外的几个条件,约在喷放2 s后各不同障碍物条件基本趋于一致,结合图8可以发现,这主要是由于受中间障碍物的阻碍,超细干粉喷出后在障碍物的上方区域先形成回流,从而延缓了超细干粉向其余区域的扩散。
图9 双层障碍物时各区域平均浓度对比
图10为三层障碍物时不同区域平均浓度对比。从图10中可以看出,在0~3.2 s的整个喷放过程中,障碍物位于中间部位时区域1—3的平均浓度均显著低于其他条件,而区域4的平均浓度则显著高于其他条件。与图9对比可以发现,三层障碍物时中间位置相较于单侧和双侧的差异在浓度差值和持续时间上均有明显的增加。此外,结合仿真结果的浓度分布可以发现,存在三层障碍物时,障碍物位于单侧和双侧时,受限空间内的不利区域位于顶层障碍物上方,而障碍物分布在中间时,受限空间内不利区域则位于顶层和次顶层障碍物之间。
图10 三层障碍物时不同区域平均浓度对比

2.4 不利区域浓度变化对比

图11a为单层障碍物及无障碍物时不利区域平均浓度对比。从图11a中可以看出,单层障碍物不同位置分布时不利区域的平均浓度变化趋势较为吻合,平均浓度总体上均高于无障碍物条件。此外,对各条件下到达最低灭火浓度(取典型值0.05 kg/m3)的时间进行对比可以发现,单层障碍物不同分布时不利区域到达最低灭火浓度所需的时间基本一致,且比无障碍物时提前了约0.5 s。由此可见,单层障碍物一定程度上加快了超细干粉在受限空间内的流动扩散。结合2.2节的分析可以推测,这主要是由于一方面单层障碍物存在时,受限空间内超细干粉的空间流动过程发生了显著的变化,使得空间内不利区域的位置发生了转换;另一方面,单层障碍物的存在一定程度上加快了超细干粉接触壁面后回流的速度,从而有利于其向整个受限空间的流动扩散。
图11 不同层数障碍物时不利区域平均浓度对比
图11b为双层障碍物及无障碍物时不利区域平均浓度的对比,从图11b中可以看出,双层障碍物不同位置分布时,不利区域平均浓度变化差异明显,在到达最低灭火浓度以前,有障碍物时的平均浓度均低于无障碍物条件,且到达最低灭火浓度的先后顺序依次为无障碍物、双层单侧、双层中间和双层双侧。由此可见,障碍物层数的增加会明显改变超细干粉在受限空间内的扩散过程,这既与超细干粉绕流障碍物的能力有关,也与超细干粉在受限空间内的流散路径变化而导致的不利区域位置的改变有关。
图11c为三层障碍物及无障碍物时不利区域平均浓度的对比,从图11c中同样可以看出,在到达最低灭火浓度之前,三层障碍物不同分布时不利区域平均浓度均明显低于无障碍条件,其中侧边障碍物相对于中间位置障碍物的影响更大。此外,相对于图11b所示的双层障碍物条件,三层障碍物相对于无障碍物时不利区域的浓度差异明显增大,且到达最低灭火浓度所需的时间也明显滞后,这进一步说明障碍物层数的增加增大了受限空间到达全淹没灭火的难度。
为进一步对比不同障碍物分布对受限空间到达全淹没灭火状态所需时间的影响,将各障碍物分布条件下不利区域到达最低灭火浓度的时间进行对比,结果如图12所示。从图12可以看出,相较于无障碍物条件,单层障碍物中间、单侧和双侧分布时到达全淹没灭火状态所需时间分别缩短了约21%、18%和27%;双层障碍物中间、单侧和双侧分布时到达全淹没灭火状态所需时间则分别延长了25%、8%和39%;三层障碍物中间、单侧和双侧分布时到达全淹没灭火状态所需时间则分别延长了42%、56%和60%。由此可见,相较于障碍物位置分布而言,障碍物的层数对超细干粉在受限空间内的流动过程影响更加显著。
图12 最低灭火浓度的时间对比

3 结论

本文采用Fluent软件建立了受限空间内超细干粉灭火剂空间流动扩散特性的二维仿真计算模型,并对不同障碍物分布条件下超细干粉在受限空间内的流动特性进行了研究。主要结论如下:
1)障碍物的层数和分布会明显改变超细干粉在受限空间内的流动轨迹,进而改变受限空间内不利区域的位置,且不同障碍物层数和分布时不利区域的位置也不同。
2)障碍物在受限空间内的位置对超细干粉的空间流动扩散过程具有显著影响。在喷放初期,中间位置障碍物下方区域的浓度明显低于其他位置障碍物,而侧边障碍物则对空间到达全淹没灭火状态所需时间的影响更为明显。
3)相比于障碍物空间位置来说,障碍物层数对超细干粉灭火剂在受限空间内达到全淹没状态的影响更加显著。单层障碍物在一定程度上有利于加快受限空间达到全淹没灭火剂状态,而多层障碍物则正好相反,且随着障碍物层数的增加,达到全淹没状态所需的时间也增加。
[1]
舒中俊,陈涛 .“双碳” 目标下洁净化学气体灭火剂研究与发展[J].消防科学与技术202342(7):881-891.

[2]
Gatsonides J G Andrews G E Phylaktou H N,et al.Fluorinated halon replacement agents in explosion inerting[J].Journal of Loss Prevention in the Process Industries201536:544-552.

[3]
Kim A K Su J Z.Full-scale evaluation of halon replacement agents[J].Journal of Fire Protection Engineering199910(2):1-23.

[4]
Wang Y W Zou G W Liu C L,et al.Comparison of fire extinguishing performance of four halon substitutes and halon 1301[J].Journal of Fire Sciences202139(5):370-399.

[5]
Wang Z X Zhang Y Wang J,et al.Study of thermal pyrolysis characteristics and fire extinguishing performance of novel halon alternatives for aviation applications[J].Journal of Thermal Analysis and Calorimetry2025150(15):11591-11609.

[6]
Zhou X M Chen W W Chao M Y,et al.The study of thermal decomposition of 2-bromo-3,3,3-trifluoropropene and its fire-extinguishing mechanism[J].Journal of Fluorine Chemistry2013153:101-106.

[7]
赵军超.飞机动力舱抗复燃超细干粉灭火剂的设计与制备研究[D].合肥:中国科学技术大学,2022.

[8]
钟恺锋,黄鑫,浮震强,等.喷头构型对超细干粉灭火有效性影响的试验研究[J].消防科学与技术202342(1):84-88.

[9]
季经纬,蔡伟明,田志坚,等.超细干粉气固两相流在水平直管中的流动特性研究[J].消防科学与技术202241(10):1445-1450.

[10]
蔡宇武.超细干粉灭火剂水平直管内流动阻力的模拟研究[D].南京:南京理工大学,2014.

[11]
Miao B Chen F B.Optimization simulation of ultrafine dry powder blow-assisted pipe based on CFD[J].Mathematical Problems in Engineering20222022(1):8304007.

[12]
陆诚,吕晓东,魏巍,等.超细干粉施放、流动过程的数值模拟[J].中国粉体技术201420(6):17-20,24.

[13]
Guo X X Zhang H Pan X H,et al.Experimental and numerical simulation research on fire suppression efficiency of dry powder mediums containing molybdenum flame retardant additive[J].Process Safety and Environmental Protection2022159:294-308.

[14]
华敏,殷志平,潘仁明.无火源施放后超细微粒灭火剂运动特性研究[J].中国安全科学学报201121(9):46-52.

[15]
华敏,殷志平,潘仁明.超细微粒灭火剂冷施放运动特性试验研究[J].安全与环境学报201212(4):217-221.

[16]
Fluent A.Ansys fluent theory guide[M]. Canonsburg: ANSYS Inc, 2013.

Outlines

/