Aerospace Engineering

Characterization and thermal impact analysis of ultrasonic peening strengthening of superalloy GH4169

  • Jin CAI , 1 ,
  • Xiaoguang REN 1 ,
  • Wei YAO 2
Expand
  • 1. College of Aerospace Engineering,Shenyang Aerospace University,Shenyang 110136,China
  • 2. Guizhou Hanggu Power Technology Co. ,Ltd.,Guiyang 561113,China

Received date: 2024-07-18

  Revised date: 2024-09-20

  Accepted date: 2024-09-22

  Online published: 2025-04-29

Abstract

To address the issue of improving the surface integrity of superalloy GH4169,ultrasonic peening and thermal exposure tests were conducted on superalloy GH4169 specimens.The specimens were first subjected to ultrasonic peening tests with a penning coverage of 98%~125% and peening intensity of 0.15 A and 0.25 A. Then the specimens were thermally exposed at 250 °C,400 °C and 550 °C for 1 hour and 10 hours respectively. Finally,the effects of ultrasonic peening on the surface roughness,hardness,microstructure and residual compressive stress of superalloy GH4169 were analyzed,as well as the changes in residual compressive stress after thermal exposure. The results indicate that after ultrasonic peening,the surface of superalloy GH4169 undergoes plastic deformation and the surface hardness significantly increases.The grain refinement in the near-surface layer is significant,and the grain size shows a gradient distribution from the surface layer to the depth,introducing residual compressive stress in the surface layer.Compared to 0.15 A,the peening intensity of 0.25 A increases the grain refinement by 29%.After high-temperature thermal exposure,the residual compressive stresses on the surface of superalloy GH4169 undergo thermal relaxation,with the maximum rate occurring at the initial stage of thermal exposure,after which it tends to stabilize and becomes independent of the duration of thermal exposure.The higher the thermal exposure temperature,the more intense the relaxation of the near-surface residual stress and the greater the depth at which the maximum residual compressive stress is located.

Cite this article

Jin CAI , Xiaoguang REN , Wei YAO . Characterization and thermal impact analysis of ultrasonic peening strengthening of superalloy GH4169[J]. Journal of Shenyang Aerospace University, 2025 , 42(1) : 25 -35 . DOI: 10.3969/j.issn.2095-1248.2025.01.003

高温合金GH4169因其较高的抗拉强度、屈服强度及优良的抗腐蚀、抗辐照、热加工和高温力学性能等被广泛应用于航空发动机零部件的生产制造中,如涡轮盘、压气机盘、压气机叶片和腐蚀防护装置等,其在材料组分和力学性能方面与国外IN 718合金相似1-2。20世纪60年代,美国GE公司在其生产的TF39和LM2500军用发动机中大量使用IN 718合金作为涡轮盘、压气机叶片等关键零部件的材料;20世纪70年代,民用发动机也广泛采用IN 718合金,如在美国GE公司生产的CF6发动机加工成形的零部件材料中,IN 718合金占据了34%;1984年,我国首次将高温合金GH4169应用于大型涡轮盘的研制2-3。目前,高温合金GH4169在航空发动机的应用已越发成熟,正朝着改善组分和送气机合金改性的方向不断发展4-5
表面完整性是加工承受疲劳载荷部件(如航空发动机的涡轮盘和压气机叶片等)要考虑的重要因素,其直接影响零件的使用寿命。在过往的工程案例中,大多数零部件的失效都与表面缺陷引起的损伤有关6-7。Mazur等8提出燃气涡轮机叶片在热腐蚀条件下,其表面会氧化磨损,最终导致应力增加,叶冠断裂。超声喷丸强化(ultrasonic shot peening,USP)技术利用弹丸高速撞击靶材表面,使材料表面微观组织由于塑性变形而碎化,改善表面晶粒的细化和微观组织,同时引入残余压应力,提升表面完整性,从而提高金属材料的疲劳性能9-10。Goulmy等11发现喷丸后的IN718合金涡轮盘内部引入超过1 000 MPa残余应力,在热载荷的作用下会引起残余应力的部分松弛和加工硬化。Palma等12将IN718合金激光喷丸后在593 ºC下退火50 h,最终残余压相当于初始应力的60%,具有稳定性。
基于以上分析,喷丸和热处理工艺是金属零件常用的加工方法。本文以高温合金GH4169为研究对象,采用不同参数对其进行超声喷丸和热暴露试验,揭示了超声喷丸工艺对高温合金GH4169表面粗糙度、显微硬度、微观形貌及残余应力分布等表面完整性的影响规律、温度和保温时间对高温合金GH4169喷丸后残余应力热松弛的影响效果。

1 试验与方法

1.1 高温合金GH4169试样

试验选用高温合金GH4169板料作为研究对象,其化学成分如表1所示13。热处理工艺为固溶处理(1 000 ℃,保温2 h,水冷)加时效处理(720 ℃,保温8 h之后炉冷到620 ℃,保温8 h,空冷)。利用线切割方法将板料切割成22 mm×35 mm×7 mm的试样,共8块,编号为S1—S8,如图1所示。试验前用400、600、800目水磨砂纸轻微打磨切割面至无明显划痕。高温合金GH4169超声喷丸和热暴露试验分析示意图如图2所示。
表1 GH4169高温合金化学成分 (%)

w

(C)

w

(Cr)

w

(Mo)

w(Al) w(Ti) w(Nb)

w

(Fe)

w(Ni)
0.025 18.100 2.800 0.450 1.000 5.400 18.000 余量
图1 材料切割试样
图2 高温合金GH4169超声喷丸和热暴露试验分析示意图

1.2 超声喷丸参数设计

试验在超声喷丸机上进行,超声喷丸系统示意图如图3所示。系统由超声波发生器、振动装置及腔室组成。其工作原理是由超声波发生器将交流电转化为20 kHz超声波振荡信号,把超声波能量转化为机械振动,经过变幅杆放大后传递至振动头产生振动。弹丸在腔室内以离散的形式高速多角度冲击试样表面,最终完成喷丸强化914。每组各3块试样,采用单面喷丸的形式,振幅为80 μm。弹丸材料为氧化锆,其硬度为1 250 HV。Hoffmeister15针对与高温合金GH4169成分相似的IN718合金喷丸试验,采用了0.15 A和0.25 A的喷丸强度,同时选用高压压气机盘和低压涡轮盘,参照德国MTU公司盘件喷丸工艺指令,最终S1、S2试样喷丸强度选择常用的0.15 A和0.25 A,喷丸覆盖率为98%~125%。
图3 超声喷丸系统示意图

1.3 热暴露处理参数

考虑到涡轮盘的服役环境,为探究高温合金GH4169残余应力的变化,设置了热暴露试验。基于后续分析,S2试样超声喷丸强化综合效果优于S1试样。因此,试样喷丸参数与S2相同。残余应力热松弛机制主要由热还原控制,与材料中不稳定缺陷(空位和自由位错)的消失和重组有关。针对镍基高温合金,其缺陷开始恢复的温度约为其熔化温度的25%,几乎完全恢复的温度约为45%16。高温合金GH4169的熔化温度为1 260~1 320 ℃,对应的温度分别为315~330 ℃和567~594 ℃。高温合金GH4169的最高服役温度为650 ℃,普通低压涡轮盘的服役温度为200~550 ℃17-18。考虑选取温度区间的均匀性以区分不同温度阶段的松弛规律,最终选取的热暴露温度为250、400、550 ℃。将超声喷丸后的S3—S8试样在工业级烘箱内保温数小时,进行恒温热暴露,在达到规定热暴露保温时间后在室温条件下放置自然冷却。GH4169试样热暴露试验的工艺参数如表2所示。
表2 GH4169试样热暴露试验的工艺参数
编号 温度/℃ 保温时间/h 超声喷丸参数
S3 250 1

喷丸强度:0.25A

覆盖率:98%~125%

S4 250 10
S5 400 1
S6 400 10
S7 550 1
S8 550 10

1.4 表面完整性检测

超声喷丸后试样的表面形貌、微观结构、表层硬度和残余压应力是评估零件表面完整性常检测的性能指标,喷丸影响示意图如图4所示。表面粗糙度会影响零件的疲劳强度,表面峰谷部分易引起材料应力集中,最终导致材料的塑化和裂纹的扩展。试样亚表层同表面纹理一样重要,尤其是微观组织和残余应力状态是影响材料使用寿命的关键参数。材料内部残余应力甚至对薄壁零件的结构变形产生直接影响。热处理质量同样能决定材料的表面完整性,若试样冷却速度过快,外层会发生相变,而材料内部冷却速度缓慢,短时间内将产生内应力。当内应力超过一定强度时,可能会出现细小裂纹19
图4 喷丸影响示意图
采用Olympus GX71 金相显微镜观察喷丸前后试样表面形貌,利用MicROMEAsuR2非接触表面三维轮廓仪获得不同喷丸参数工艺下试样表面三维轮廓形貌及表面粗糙度。试样喷丸后经超声波清洗直接观测,面轮廓测试范围为1.73 mm×1.29 mm。采用JSM-7200F 场发射扫描电子显微镜搭载Oxford Instruments hkl channel 5系统,观察试样截面形貌和微观晶粒组织并进行EBSD测试。采用HXS-1 000 A 显微硬度计测量试样喷丸截面的纵向显微硬度变化情况,从距离表面30 μm处开始测量,测量间距为30 μm。利用芬兰X stress Robot X射线应力分析仪,依据GB/T 7704—2017检测表面残余应力的分布情况。靶材选用锰,管电流为6.7 mA,管电压为30 kV,衍射晶面为{311}面。扫描角度为-45°~+45°,准直管直径为3 mm,采集时间为5 s,采集深度范围距表面0~380 μm。

2 结果与讨论

2.1 试样表面形貌分析

图5为试样S1、S2超声喷丸后宏观表面形貌图。试样未喷丸时,表面状态良好,较为光滑,无明显瑕疵,有明显的金属亮纹。经过超声喷丸后,由于受到氧化锆弹丸的高速冲击,经过多次的叠加碰撞,试样S1、S2表面均产生了明显的塑性变形,且变形程度较大,出现许多凸起、凹坑的形貌。由图5c和5d对比可知,喷丸后的高温合金GH4169单位面积内随着喷丸强度的增大,单个凹坑的直径增大,凹坑的数量减少。
图5 试样S1S2超声喷丸后宏观表面形貌图
图6为表面三维轮廓形貌图。试样表面产生密集的凸起、凹陷的形貌,用不同深浅的颜色来表征位置高度。试样S2表面凹坑深度较深,黑色区域较多。这是因为喷丸强度越大,相同材料的情况下发射弹丸的动能越大,接触表面能量冲击就越大,造成试样表面撞击凹坑深度越大。S1较S2表面起伏变化更为连续、平缓,色谱中颜色过渡较为均匀,“峰”和“谷”极值差较小。总体来说,试样S2表面起伏变化明显,高低错落变化较大。
图6 表面三维轮廓形貌图
图7为试样S1、S2表面粗糙度的分布情况。试样S1的线粗糙度和面粗糙度分别为1.83 μm和1.72 μm;试样S2分别为2.30 μm和2.17 μm,试样S1较试样S2下降约20.43%。由此可知,采用0.15 A的喷丸强度较0.25 A可以降低试样的表面粗糙度。这可能是由于弹丸冲击能量较大,试样表面塑性变形剧烈,导致撞击凹坑深度较大,短时间内造成高度变化不连续,差异值较大,表面粗糙度高。但是,试样S2表面粗糙度仍在可接受范围内,相比较选择性激光熔化 IN718喷丸后处理表面粗糙度由11.88 μm降到2.70 μm,试样S2表面粗糙度仍较小。喷丸工艺也常常被用作某些材料生产制造的后处理过程,以改善其表面完整性20
图7 试样S1S2表面粗糙度的分布情况

2.2 试样微观形貌分析

图8为试样S1、S2截面组织金相照片。试样近表层区域晶粒尺寸由表层至深度呈梯度分布,近表层区域晶粒尺寸明显减小,约为深层晶粒尺寸的1/4(图8b中标记区域)。由此表明,高温合金GH4169超声喷丸后试样表层发生剧烈的塑性变形,改善了晶体结构,形成了晶粒细化层,近表层晶粒尺寸明显减小。图8b中的晶粒细化层深度约为120 μm,图8d中的晶粒细化层深度约为160 μm。对比发现,试样S2的晶粒细化层深度比S1增加了约33%。由此表明,在喷丸强度为0.25 A的条件下,试样晶粒细化层深度较0.15 A试样更大,晶粒细化程度更高。
图8 试样S1S2截面组织金相照片
图9为试样晶粒尺寸的统计结果,按尺寸大小占比进行划分。试样晶粒明显得到了不同程度的细化,大部分晶粒尺寸分布在0~20 μm。随着晶粒尺寸的增大,占比分布在逐渐减小。超过80 μm后,晶粒数量较少,几乎没有超过120 μm的大尺寸晶粒。与图9a相比,图9b中小尺寸晶粒占比较多,基本分布在0~60 μm,细化程度更高。试样S1近表层区域晶粒尺寸大小平均值为38.3 μm,试样S2为27.4 μm,S2比S1晶粒细化程度提升了近29%。通过定量分析可知,超声喷丸能明显改善微观晶粒结构,且随着喷丸强度的增大,晶粒细化效果更加明显。
图9 试样晶粒尺寸的统计结果
图10为试样S1、S2截面扫描微观形貌分布状态。图10b中,试样S2受弹丸冲击引起的表层变化较大,塑性变形、弹坑尺寸和深度较大,弹丸撞击均匀,塑性变形层向基体的过渡较为平整。图10a中,试样S1塑性变形层的延伸受到基体临近区域的限制较大,向基体方向不均匀延伸。局部区域(图10a中指示区域)出现了材料堆叠、分层的现象,这对材料的使用寿命有一定的影响,易引起局部的应力集中,进而产生裂纹萌生点14。由此表明,高温合金GH4169在0.15 A喷丸强度下,表层塑性变形层向基体延伸不均匀,且过渡区域易出现材料分层、堆叠的瑕疵。
图10 试样S1S2截面扫描微观形貌分布状态
图11为试样截面的KAM统计图。基于核心区域的平均取向差(kernel average misorientation,KAM)是表示晶粒晶格畸变特征的主要参数之一,能够反映微观局部塑性变形的均匀化程度,数值较高的地方塑性变形程度较大21。通过对比可知,形变位置主要发生在晶界附近,试样塑性变形程度呈梯度分布,由表层至材料内部逐渐减弱,试样S2的塑性变形程度更大,范围更广,这与之前的试验结果一致。
图11 试样横截面的KAM统计图

2.3 试样表层硬度分析

图12为试样S1、S2喷丸后截面的纵向显微硬度分布情况。从图12可以看出,两块试样硬度变化趋势大致相同。最大的显微硬度均出现在试样表面附近位置,随后硬度开始螺旋式缓慢下降,穿过硬化区后经过过渡区起伏变化,最终下降到达基体层,硬度趋于稳定。试样S1、S2表层最大硬度分别达到了505、531 HV,与未喷丸试样表面硬度(423 HV)相比分别提高了19.38%、25.53%,试样表层硬化显著,超声喷丸工艺能明显提升GH4169的表层硬度。
图12 试样S1S2喷丸后截面的纵向显微硬度分布情况
根据霍尔-佩奇(Hall-Petch)公式
σ = σ 0 + k d - 1 2
式中: σ 为材料的屈服强度; σ 0为位错在滑移面上滑移时的摩擦应力; d为平均晶粒尺寸; k为应力集中系数,代表晶界阻碍位错滑移的难易程度22
式(1)可知,超声喷丸工艺导致高温合金GH4169表层晶粒细化,平均晶粒尺寸 d明显减小,因此材料的屈服强度 σ将会增大,材料表层硬度明显升高。这对材料本身是有益的,表层加工硬化能够有效地降低零件工作时的磨损侵害,延缓微裂纹的萌生和蔓延扩展。试样S2与试样S1最大硬度相差不大,仅提高了5.15%。二者的硬化层深度均在350 μm左右。由此可知,喷丸强度的大小对高温合金GH4169硬化区硬度和硬化层深度影响较小。

2.4 试样残余应力分析

图13为试样超声喷丸后残余压应力随深度变化的分布情况。试样S1和S2的残余压应力大小随深度位置的变化趋势大致相同,在试样表层处随着深度位置的增加先增大,达到峰值后逐渐减少,经过过渡区向基体延伸,呈现“√”样貌。试样S1、S2的表面残余压应力分别为-897、-829 MPa,残余压应力峰值分别约为-1 228、-1 271 MPa,深度位置分别位于次表层约170、120 μm处。残余压应力层较深,深度均已超过380 μm,高温合金GH4169引入残余压应力效果明显。
图13 残余压应力随深度变化的分布情况
依据材料表层和内部形成疲劳源的极限条件:
表面萌生裂缝时,
σ w p s + σ r s = σ w s  
内部萌生裂缝时,
σ w p i + σ r i = σ w i  
式中: σ w s σ w i分别为材料的表面和内部疲劳极限; σ r s σ r i分别为材料表面和内部残余应力; σ w p s σ w p i分别为疲劳极限条件下表面和内部载荷应力23
式(2)可知,假设材料表面疲劳极限 σ w s变化较小,高温合金GH4169经过超声喷丸后表面引入较大残余压应力 σ r s σ r s为负值),可以抵消部分载荷应力。因此,材料表层形成疲劳源需要的载荷应力 σ w p s会增大,具体表现为高温合金GH4169表面性能得到强化,与未喷丸相比,在相同环境下不易产生裂缝。由式(3)可知,在喷丸残余应力影响层下面,高温合金GH4169内部残余应力 σ r i很小,因此达到疲劳极限所需的载荷应力 σ w p i也会降低。总体来说, σ w p s增大而 σ w p i减小,材料表象疲劳极限提高,内部成为薄弱环节,疲劳源由表层被“推”进内部。喷丸引入的残余应力能明显提升材料的疲劳寿命,抑制材料表面裂纹的萌生和延展,对于材料的实际应用十分有益24-25
对比试样S1、S2发现,二者在残余压应力方面有微小差距。S2最大残余压应力比S1提升了43 MPa,约为3.6%。不同喷丸强度下,引入的残余压应力较为接近。由此可知,对于高温合金GH4169超声喷丸强化,引入的残余压应力大小与喷丸强度几乎无关。文献[16]研究表明,材料的屈服强度和硬化行为才是影响喷丸产生最大残余应力的主要因素。

2.5 热暴露对超声喷丸残余应力场的影响

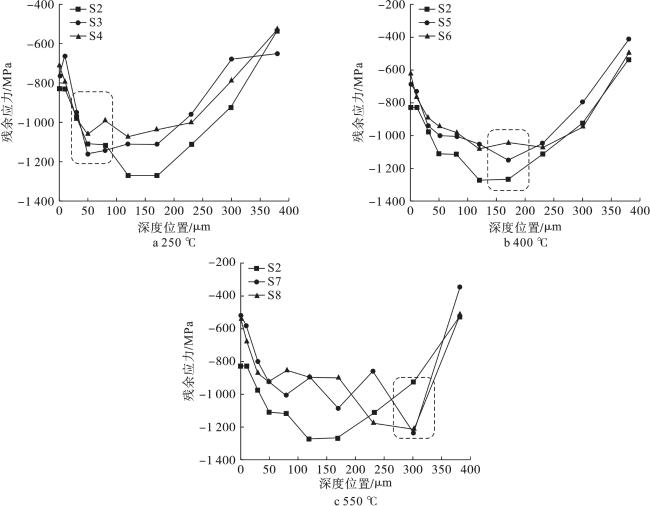
图14为试样在同一温度下热暴露后残余应力的分布情况。图14a中,试样S3、S4表面残余压应力分别约为-756、-712 MPa,次表面残余压应力峰值分别约为-1 157、-1 073 MPa,分别出现在深度位置约50、120 μm处;图14b中,试样S5、S6表面残余压应力分别约为-681、-621 MPa,次表面残余压应力峰值分别约为-1 148、-1 085 MPa,分别出现在深度位置约170、120 μm处;图14c中,试样S7、S8表面残余压应力分别约为-529、-548 MPa,次表面残余压应力峰值分别约为-1 236、-1 211 MPa,均出现在深度位置约300 μm处。所有试样总体变化趋势相似,从表层处残余压应力以某一数值先逐渐增大,在亚表层某一深度位置达到峰值后,向基体蔓延时逐渐减小,最终冲击能量扩散减弱,残余压应力释放。
图14 试样在同一温度下热暴露后残余压应力分布情况
与试样S2对比,发现试样残余压应力峰值均小于S2,说明试样经热暴露后发生了热松弛现象,且峰值的深度位置均不相同。热松弛较明显的深度位置在距试样表面50~300 μm处,残余压应力明显减少。从图14可以看出,在同一温度下,热暴露1 h和10 h后残余压应力的变化趋势大致相同,松弛程度相近,说明热松弛在热暴露后迅速发生,最大速率发生在热暴露初期阶段,之后便趋于稳定,与热暴露时间无关。随着暴露温度的升高,最大残余压应力距表层的深度位置由250 ℃的50 μm左右提高至550 ℃的300 μm左右(图15中标记区),最大残余压应力层被“推”进试样内部。这表明,最大残余压应力层深随热暴露温度升高而增大。
图15 试样在S3-S8相同保温时间后残余压应力随深度位置变化的分布情况
图15为试样S3—S8相同保温时间后残余压应力随深度位置变化的分布情况,残余压应力大小与图14相同。由图15可知,热松弛受温度的影响较大。在图15a和图15b中,试样S7、S8的残余压应力在近表层区域(图15中标记区)明显小于其他试样,热松弛效果更加明显。喷丸后高温合金GH4169热暴露温度越高,残余应力近表层松弛越剧烈。550 ℃时,试样S7、S8最大残余压应力位置较深、数值较大,这可能与试验测量误差和热松弛原理机制的转变有关。喷丸会改变合金材料内晶粒尺寸和结构,出现位错阵列、位错胞、位错缠结、位错墙等微观特征,进而影响原子扩散和晶体滑移等。研究表明,热松弛可归因于这种不稳定晶体缺陷的快速重组,位错结构重新排序为更稳定的构型,之后材料的微观结构趋于稳定,热松弛减缓26-27
金属材料松弛速率与晶粒内和晶界上的原子扩散、位错运动和晶体滑移的难易程度有关。在温度远低于金属材料再结晶温度时,热松弛的最大速率发生在保温的最初阶段28。本试验热暴露温度低于高温合金GH4169再结晶温度(约为1 000 ℃),在保温初期阶段随着原子扩散和晶体结构的快速重组,残余压应力发生明显的松弛现象。随着保温时间增加,松弛速率减小,晶体结构趋于稳定。回复过程中,初始阶段以空位迁移为主,激活能与空位迁移能相近,所需激活能较小。下一阶段,残余应力松弛主要是受位错变化的影响,回复所需能量较高29。在250 ℃时,回复过程以点缺陷释放为主,残余应力松弛程度有限。受温度变化影响,在550 ℃时,间隙原子扩散加快,对位错运动的阻碍效果降低,受位错的运动、重排、湮没等影响,松弛程度逐渐增大。
总体来说,GH4169试样超声喷丸后经过热暴露残余压应力会衰减。在一定温度范围内(550 ℃以下),持续一段时间后表面仍然会保留大部分(超过65%)的残余压应力,后续将不受暴露时间影响,具有热稳定性。

3 结论

1) 高温合金GH4169经过超声喷丸处理后表面粗糙度较小,近表层区域晶粒细化明显。0.25 A喷丸强度较0.15 A,表面粗糙度上升了约20.43%,晶粒细化层深度增加了约33%,晶粒尺寸平均值降低了29%,喷丸强化效果更好。
2) 高温合金GH4169超声喷丸后表层硬化显著,表层硬度明显提高。与未喷丸试样相比,超声喷丸后试样S1、S2表层硬度峰值分别达到505、531 HV,分别提高了19.38%、25.53%。
3) 高温合金GH4169超声喷丸后表层引入残余压应力,但残余压应力大小与喷丸强度几乎无关。用0.25 A强度喷丸后亚表层最大残余压应力为1 271 MPa,深度位置距表层约120 μm处,残余压应力层超过380 μm。
4) 超声喷丸后的高温合金GH4169热暴露后表层残余压应力发生热松弛,受温度影响较大,与暴露时间无关。热松弛最大速率发生在初期阶段,之后趋于稳定。在一定温度范围内,热暴露温度越高,近表层残余应力松弛越剧烈。最终,材料会保留部分(超过65%)的残余压应力,后续不受暴露时间影响,具有热稳定性。
1
杜金辉,吕旭东,邓群,等.GH4169合金研制进展[J].中国材料进展201231(12):12-20,11.

2
吕成,张立文,王照坤,等.GH4169合金热加工中微观组织模拟研究进展[J].热加工工艺200635(18):57-60.

3
齐欢.INCONEL 718(GH4169)高温合金的发展与工艺[J].材料工程2012(8):92-100.

4
Benhadad S Richards N L Chaturvedi M C.The influence of minor elements on the weldability of an INCONEL 718-type superalloy[J].Metallurgical and Materials Transactions A200233(7):2005-2017.

5
Wang X Q Gong X B Chou K.Review on powder-bed laser additive manufacturing of Inconel 718 parts[J].Proceedings of the Institution of Mechanical Engineers,Part B:Journal of Enginee-ring Manufacture,2017231(11):1890-1903.

6
Akhtar W Sun J F Chen W Y.Effect of machining parameters on surface integrity in high speed mi-lling of super alloy GH4169/inconel 718[J].Materials and Manufacturing Processes201631(5):620-627.

7
Liu Z Q Cao C M Du J,et al.Effect of cutting speed on surface integrity in high speed machining nickel-based superalloy inconel 718[J].Materials Science Forum2011697/698:208-212.

8
Mazur Z Kubiak J Mariño-Lopez C.Failure analysis of gas turbine last stage bucket made of udimet 500 superalloy[J].Practical failure analysis20022(2):51-57.

9
蔡晋,谭明昕,李云玲,等.增材制造γ-TiAl合金超声喷丸表面完整性数值及试验分析[J].航空制造技术202366(8):78-85.

10
鲁世红,吴天睿,高国强,等.超声波喷丸表面强化技术研究与应用进展[J].航空制造技术2016(4):24-27.

11
Goulmy J P Boyer V Toualbi L,et al.Assessment of shot-peening on fatigue life of Inconel 718 turbine disk[C]//Conference on Fatigue Damage of Structural Materials XI.Hyannis:ICSP,2016:87-91.

12
Palma T Munther M Sharma M,et al.Nanomechanical characterization of laser peened additively manufactured inconel 718 superalloy[J].Advanced Engineering Materials201921(9):1900499.

13
江河,董建新,张麦仓,等.800 ℃以上服役涡轮盘用难变形镍基高温合金研究进展[J].航空制造技术202164(1):62-73.

14
林爽,蔡晋,王刚,等.TC17钛合金超声喷丸强化均匀性表征分析[J].航空精密制造技术202359(1):25-26,46.

15
Hoffmeister J.Beschreibung des eigenspannungsa-bbaus in kugelgestrahltem inconel 718 bei thermischer,quasistatischer und zyklischer beanspruchung[D].Karlsruhe:Universität Karlsruhe (TH),2009.

16
Khadhraoui M Cao W Castex L,et al.Experimental investigations and modelling of relaxation behaviour of shot peening residual stresses at high temperature for nickel base superalloys[J].Materials Science and Technology199713(4):360-367.

17
曹凤兰,王旅生,黄庆东,等.某发动机低压涡轮盘技术寿命研究[J].航空动力学报200116(4):312-315.

18
杜金辉,赵光普,邓群,等.中国变形高温合金研制进展[J].航空材料学报201636(3):27-39.

19
Rech J Hamdi H Valette S.Workpiece surface integrity[M].Heidelberg:Springer-Verlag,2008.

20
Mythreyi O V Raja A Nagesha B K,et al.Corrosion study of selective laser melted IN718 alloy upon post heat treatment and shot peening[J].Me-tals202010(12):1562.

21
胡正飞,张家乐,张洁.HR3C奥氏体耐热钢晶界蠕变损伤的电子背散射衍射分析[J].同济大学学报(自然科学版)202452(4):611-618.

22
余辉辉.镁合金中界面特征与细晶强化的关系研究[D].重庆:重庆大学,2018.

23
张志建,姚枚,李金魁,等.喷丸强化件表象疲劳极限优化研究[J].机械工程材料200327(10):7-10,36.

24
Soyama H Chighizola C R Hill M R.Effect of compressive residual stress introduced by cavitation peening and shot peening on the improvement of fatigue strength of stainless steel[J].Journal of Materials Processing Technology2021288:116877.

25
Buchanan D J John R Brockman R A,et al.A coupled creep plasticity model for residual stress relaxation of a shot-peened nickel-based superalloy[J].JOM201062(1):75-79.

26
Buchanan D J Shepard M J John R.Retained residual stress profiles in a laser shock‐peened and shot‐peened nickel base superalloy subject to thermal exposure[J].International Journal of Structural Integrity20112(1):34-41.

27
Nakamura H Takanashi M Itabashi Y,et al.Shot peening effect on low cycle fatigue properties of Ti-6Al-4V and inconel 718[C]//ASME 2011 Turbo Expo:Turbine Technical Conference and Exposition.Vancouver:ASME,2011:791-797.

28
高玉魁.TC18超高强度钛合金喷丸残余压应力场的研究[J].稀有金属材料与工程200433(11):1209-1212.

29
邹雄,梁益龙,吴泽丽,等.磨料水射流喷丸对渗碳GDL-1钢表面性能及残余应力场热松弛行为研究[J].机械工程学报201753(22):43-49.

Outlines

/